Skip to content
  • (+677) 42600
Announcements:
Formal Notice: Application Process for Postgraduate Diploma in Security Studies
๐’๐ˆ๐๐” ๐๐Ž๐“๐ˆ๐‚๐„ | ๐’๐ž๐ฆ๐ž๐ฌ๐ญ๐ž๐ซ ๐Ÿ, ๐Ÿ๐ŸŽ๐Ÿ๐Ÿ” ๐€๐œ๐š๐๐ž๐ฆ๐ข๐œ ๐ƒ๐š๐ญ๐ž๐ฌ & ๐†๐ซ๐š๐๐ฎ๐š๐ญ๐ข๐จ๐ง ๐ˆ๐ง๐Ÿ๐จ๐ซ๐ฆ๐š๐ญ๐ข๐จ๐ง
๐Ÿ“ข ๐’๐ˆ๐๐” ๐€๐ƒ๐Œ๐ˆ๐’๐’๐ˆ๐Ž๐๐’ ๐”๐๐ƒ๐€๐“๐„ โ€“ ๐๐€๐“๐‚๐‡ ๐Ÿ (๐Ÿ๐ŸŽ๐Ÿ๐Ÿ”) | ๐€๐‚๐‚๐„๐๐“๐„๐ƒ ๐€๐๐๐‹๐ˆ๐‚๐€๐๐“๐’
Quick Links
  • Alumni | Register of Experts
  • Faculty
  • Programs
  • Moodle
  • Student Mail
SINU
  • Home
  • About Us
  • Governance
    • Executive Governance
    • Office of the Vice Chancellor
      • Pro-VC (Academic)
      • Pro-VC (Corporate)
      • Department of Finance
      • Department of Human Resources
      • Department of University Secretariat and Records
    • Pro Vice-Chancellor (Academic)
    • Pro Vice-Chancellor Corporate (PVCC)
  • Academic
    • Faculties
      • Faculty of Agriculture, Fisheries and Forestry
      • Faculty of Business & Tourism Studies
      • Faculty of Education & Humanities
      • Faculty of Nursing, Medicine & Health Sciences
      • Faculty of Science & Technology
    • Schools
      • FBTS
        • School of Business & Management
        • School of Tourism & Hospitality Management
      • FEH
        • School of Education
        • School of Humanities
      • FNMHS
        • School of Medicine
        • School of Nursing
        • School of Public Health
      • FST
        • School of Built Environment
        • School of Science
        • School of Transportation
    • Departments
      • FAFF
        • Department of Agriculture
        • Department of Environmental Studies
        • Department of Fisheries
        • Department of Forestry
      • FBTS
        • Department of Hospitality & Culinary Arts
        • Department of Tourism & Hotel Management
      • FEH
        • Department of Early Childhood
        • Department of Primary Education
        • Department of Secondary Education
        • Department of TVET Education
        • Department of Geography
        • Department of History
        • Department of Language & Communications
        • Department of Library & Information Systems
        • Department of Social Sciences
        • Department of Sports & Creative Arts
      • FST
        • Department of Automotive Engineering
        • Maritime Academy
    • College and Centres
      • University Preparatory College
      • Distance & Flexible Learning Centre
      • Centre for Productivity, Professional Development and Life-long Learning
    • Office of Research and Postgraduate Studies
    • Institute of Governance, Diplomacy and Development
  • Corporate
    • Department of BICS
    • Department of ICT
    • Department of Institutional Planning Division
    • Department of Properties & Facilities
    • SINU Marketing & Public Relations Office
  • Students
    • Student Academic Services
    • Prospective Students
    • Current Students
    • Moodle
    • Student Webmail
  • Library
    • Library Home
    • Services
      • Opening Hours
      • SINU Writing Lab
      • User Services
    • Collections
    • Digital Space
      • Databases
      • E-Journals
      • E-Books
      • Digital Libraries
      • Research Tools
    • LIS Program
      • Graduate
      • User Education
  • Documentations
  • Jobs
    • Job Opportunities
    • Tenders & EOI
SINU > Announcement > SEMESTER 2 2022 EXAMINATIONS

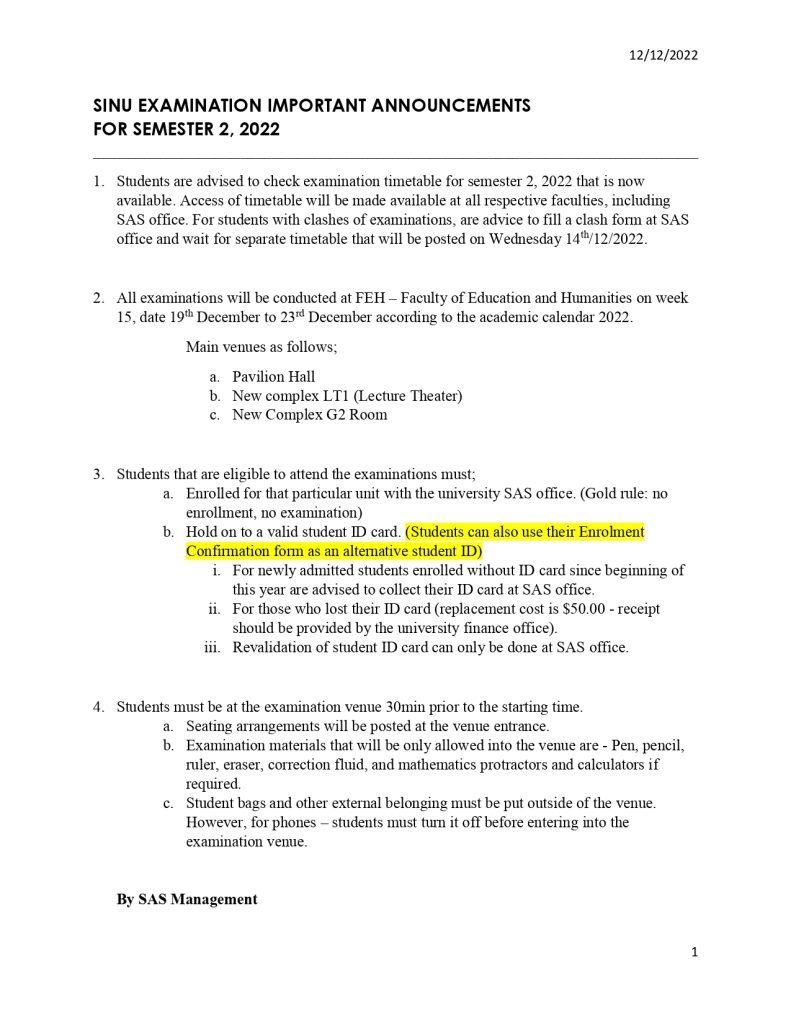
SEMESTER 2 2022 EXAMINATIONS

Please click to download the scheduleย Semester 2 2022 Final Timetable

Thank you and all the best in your exam preparations.

About SINU

  • The University
  • Faculty
  • Support Services
  • Careers

For Staff

  • Staff Webmail
  • SINU E-Learn

For Students

  • Student Webmail
  • SINU E-Learn

Follow Us:

  • Home
  • About Us
  • Governance
  • Academic
  • Corporate
  • Students
  • Library
  • Documentations
  • Jobs
Copyright. All rights reserved. SINU 2021